Номер 790 - ГДЗ Алгебра 7 класс. Мерзляк, Полонский. Учебник. Страница 149

Вернуться к содержанию учебника

Страница 149

787 788 789 790 791 792 793

Вопрос

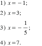
Функция задана формулой . Найдите значение , если:

Подсказка

Ответ


Вернуться к содержанию учебника