Номер 19 - ГДЗ Алгебра 8 класс. Мерзляк, Полонский. Учебник. Страница 9

Вернуться к содержанию учебника

Упражнения § 1. Страница 9

16 17 18 19 20 21 22

Вопрос

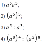
Представьте в виде степени с основанием выражение:

Подсказка

Вспомните:

  1. Степень с натуральным показателем.
  2. Свойства степени с натуральным показателем.

Ответ


Вернуться к содержанию учебника