Номер 569 - ГДЗ Алгебра 8 класс. Мерзляк, Полонский. Учебник. Страница 143

Вернуться к содержанию учебника

Упражнения §17. Страница 143

566 567 568 569 570 571 572

Вопрос

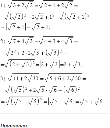
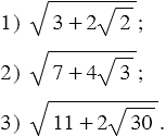
Упростите выражение:

Подсказка

Ответ


Вернуться к содержанию учебника