Вернуться к содержанию учебника
Упражнения §22. Страница 185
753 754 755 756 757 758 759 760 761 762 763
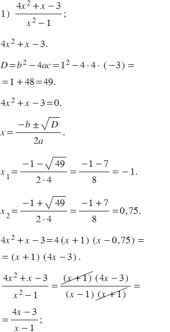
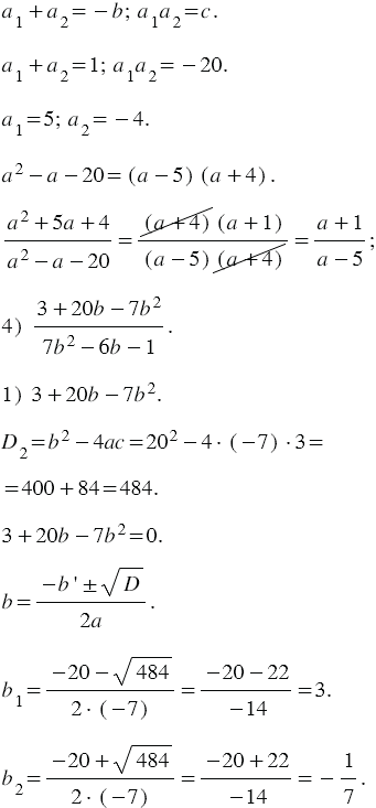
Сократите дробь:
Вспомните: