Номер 776 - ГДЗ Алгебра 8 класс. Мерзляк, Полонский. Учебник. Страница 190

Вернуться к содержанию учебника

Упражнения §23. Страница 190

774 1 775 776 777 778 779

Вопрос

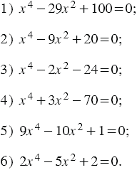
Решите уравнение:

Подсказка

Вспомните:

  1. Что такое уравнение.
  2. Что называют корнем уравнения.
  3. Какое уравнение называют квадратным.
  4. Что называют дискриминантом квадратного уравнения.
  5. Формула корней квадратного уравнения.
  6. Теорему, обратную теореме Виета.
  7. Какое уравнение называют биквадратным.
  8. Решение биквадратных уравнений методом замены переменной.
  9. Что такое квадратный корень.
  10. Что называют арифметическим квадратным корнем числа.
  11. Что такое степень числа.
  12. Что такое квадрат числа.
  13. Сложение, вычитание, умножение и деление рациональных чисел.

Ответ


Вернуться к содержанию учебника