Номер 796 - ГДЗ Алгебра 8 класс. Мерзляк, Полонский. Учебник. Страница 193

Вернуться к содержанию учебника

Упражнения §23. Страница 193

793 794 795 796 797 798 799

Вопрос

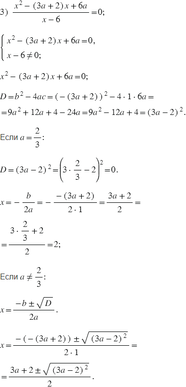
Для каждого значения решите уравнение:

Подсказка

Ответ


Вернуться к содержанию учебника