Номер 803 - ГДЗ Алгебра 8 класс. Мерзляк, Полонский. Учебник. Страница 199

Вернуться к содержанию учебника

Упражнения §24. Страница 199

801 Когда сделаны уроки 802 803 804 805 806

Вопрос

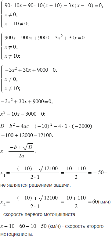
Первый мотоциклист проезжает 90 км на 18 мин быстрее второго, поскольку его скорость на 10 км/ч больше скорости второго мотоциклиста. Найдите скорость каждого мотоциклиста.

Подсказка

Ответ


Вернуться к содержанию учебника