Вернуться к содержанию учебника
Упражнения §24. Когда сделаны уроки. Страница 210
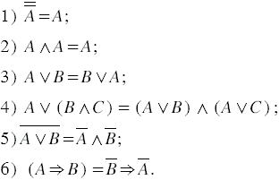
Докажите, что:

Вспомните:





Пояснения:
Математическая логика - наука, которая изучает математические доказательства (логически безупречные рассуждения). Она учит, как надо рассуждать, чтобы получить верные выводы. Высказывание - это любое утверждение, относительно которого имеет смысл говорить, что оно истинно или ложно. Высказывания обозначают прописными буквами латинского алфавита: A, B, C и т.д.
1) Конъюнкцией (или логическим произведением) двух высказываний А и В называют высказывание, которое истинно, если каждое из высказываний А и В истинно, и ложно, если хотя бы одно из них ложно. Конъюнкцию высказываний А и В обозначают так: А
В (читают "А и В" или "А конъюнкция В").
2) Дизъюнкцией (или логической суммой) двух высказываний А и В называют высказывание, которое истинно, если хотя бы одно из высказываний А или В истинно, и ложно, если они оба ложны. Дизъюнкцию высказываний А и В обозначают так: А
В (читают "А или В" или "А дизъюнкция В").
3) Импликацией (или логическим следованием) двух высказываний А и В называют такое высказывание А
В (читают: "если А, то В"), которое ложно при условии, что высказывание А истинно, а высказывание В ложно, а во всех остальных случаях оно истинно.
4) Высказывания А и В называют логически эквивалентными, если они или оба истинны, или оба ложны.
Вернуться к содержанию учебника