Вернуться к содержанию учебника
Проверьте себя. Страница 72
Проверочная работа №1 Проверочная работа №2 Словарный диктант Проверочная работа №1 Проверочная работа №2 Проверочная работа №3 Проверочная работа №4
№Проверочная работа №1 учебника 2021-2022 (стр. 72):
1. Представьте в виде смешанного числа дробь восемнадцать седьмых.
2. Представьте в виде неправильной дроби число три целых две пятых.
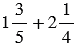
Для числового выражения
ответьте на вопросы:
3. Чему равен наименьший общий знаменатель дробных частей данных чисел?
4. Чему равен дополнительный множитель для дробной части первого числа?
5. Чему равен дополнительный множитель для дробной части второго числа?
6. Чему равна сумма дробных частей данных чисел?
7. Чему равна сумма целых частей данных чисел?
8. Чему равно значение данного выражения?
№Проверочная работа №1 учебника 2021-2022 (стр. 72):
Вспомните:
№Проверочная работа №1 учебника 2021-2022 (стр. 72):




Вернуться к содержанию учебника