Номер 140 - ГДЗ Алгебра 8 класс. Мерзляк, Полонский. Учебник. Страница 32

Вернуться к содержанию учебника

Упражнения § 4. Страница 32

137 138 139 140 141 142 1

Вопрос

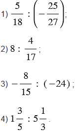
Выполните деление:

Подсказка

Ответ


Вернуться к содержанию учебника