Номер 1 - ГДЗ Алгебра 8 класс. Мерзляк, Полонский. Учебник. Страница 33

Вернуться к содержанию учебника

Задание №1 "Проверь себя". Страница 33

140 141 142 1 2 3 4

Вопрос

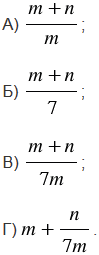
Какое из данных выражений является целым?

Подсказка

Вспомните целые и дробные выражения.

Ответ


Вернуться к содержанию учебника